-
2018년 국가직 7급 기계설계기계설계/국가직 7급 2020. 2. 14. 09:16반응형
더보기전답: 2
체인은 미끄럼이 없다. 벨트가 미끄럼이 있다.
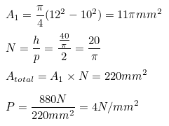
더보기정답: 2
플랜지 커플링

올덤 커플링

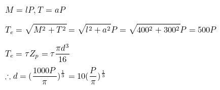
더보기정답: 1
6310 단열 레이디얼 볼 베어링의 직경은 50 mm이며(뒤의 숫자 두자리가 직경을 의미함), 한계속도지수를 통해 4,000 rpm이 최대 사용 회전속도임을 구할 수 있다.
한계속도지수(mm·rpm) = 베어링직경(mm) X 최대회전속도(rpm)
베어링직경계열 숫자파악방법은 다음과 같다.
00 (10 mm), 01 (12 mm), 02 (15 mm), 03 (17 mm)의 네가지 경우를 제외하고, 나머지는 5배를 곱해주면 된다.
예시) 05 → 25 mm, 09 → 45 mm
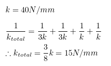
더보기정답: 4
내부확장식 브레이크는 브레이크 블록이 드럼의 안쪽에 있기 때문에 마찰면에 먼지와 기름 등이 부착되지 않는다.

더보기정답: 3

더보기정답: 2

더보기정답: 3
최대틈새(최소 죔새): +0.013 mm
최소틈새(최대 죔새): +0.051 mm
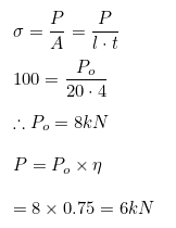
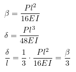
더보기정답: 1

더보기정답: 1

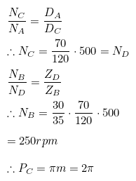
더보기정답: 2

더보기정답: 2
인벌류트 치형은 압력각이 일정하다. (사이클로이드 치형은 압력각이 변한다.)
더보기정답: 1

더보기정답: 4

더보기정답: 4
원통도 공차는 데이텀이 필요 없다.
더보기정답: 3

더보기정답: 4

더보기정답: 1
1) 비철금속들은 명확한 내구한도가 없다.
2) O
3) O
4) O
더보기정답: 1

더보기정답: 3

더보기정답: 4
더보기22143 23112 21443 41134
반응형'기계설계 > 국가직 7급' 카테고리의 다른 글
2014년 국가직 7급 기계설계 (작성 중) (0) 2020.02.18 2017년 국가직 7급 기계설계 (작성 중) (0) 2020.02.18 2009년 국가직 7급 기계설계 (작성 중) (0) 2020.02.12 2008년 국가직 7급 기계설계 (작성 중) (0) 2020.02.11 2007년 국가직 7급 기계설계 (0) 2020.02.11